|
การประเมินระดับคลอโรฟิลล์ในใบข้าวโพดโดยการใช้ Chlorophyll meter และความสัมพันธ์กับน้ำหนักแห้งมวลชีวภาพและผลผลิต |
|---|---|
| รหัสดีโอไอ | |
| Title | การประเมินระดับคลอโรฟิลล์ในใบข้าวโพดโดยการใช้ Chlorophyll meter และความสัมพันธ์กับน้ำหนักแห้งมวลชีวภาพและผลผลิต |
| Creator | สืบสกุล ศิริยุทธ์ |
| Contributor | ศักดิ์ดา จงแก้ววัฒนา |
| Publisher | มหาวิทยาลัยเชียงใหม่ |
| Publication Year | 2562 |
| Keyword | เครื่องวัดคลอโรฟิลล์, ข้าวโพด, ไนโตรเจน |
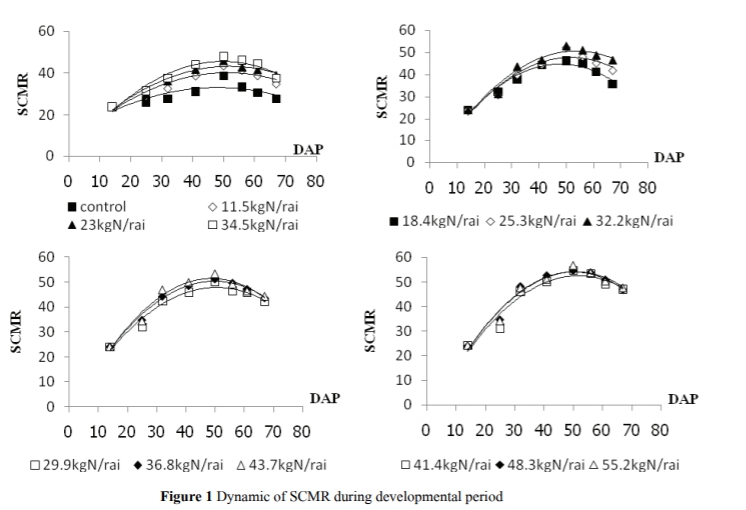
| Description | การศึกษาครั้งนี้มีวัตถุประสงค์เพื่อประเมินระดับคลอโรฟิลล์ในใบข้าวโพด โดยการใช้ Chlorophyll meter (Minolta SPAD-502) และศึกษาความสัมพันธ์ระหว่างค่าที่อ่านได้จากเครื่อง SPAD ซึ่งกำหนดเป็นค่า SPAD chlorophyll meter reading (SCMR) กับน้ำหนักแห้งมวลชีวภาพและผลผลิตของข้าวโพด โดยทำการปลูกข้าวโพดพันธุ์สุวรรณ 5 จากผลการศึกษาชี้ให้เห็นว่า พลวัตค่า SCMR ที่วัดได้จากใบข้าวโพดมีแนวโน้มเพิ่มขึ้นตามระยะพัฒนาการและแปรผันตามระดับปุ๋ยไนโตรเจนที่ใส่ โดยการใส่ปุ๋ยไนโตรเจนที่มากขึ้นส่งผลให้ค่า SCMR เพิ่มขึ้นตาม นอกจากนี้ยังพบว่าค่า SCMR มีความสัมพันธ์กับน้ำหนักแห้งมวลชีวภาพและผลผลิต |
| Format | PICTURE |
| URL Website | https://explore.nrct.go.th/search_detail/result/6536 |
| Date and time | 2562 |
| Website title | ห้องสมุดงานวิจัยสำหรับสาธารณะ (Extraordinary SimplPublic Library of Research Result : EXPLORE) |